You don't need to be an 'investor' to invest in Singletrack: 6 days left: 95% of target - Find out more
Part of my usual gravel route runs through an old estate, and I've ridden it many many times. I've never seen anyone else on it other than a few farmers and service vehicles.
Today the gamekeeper stops me and tells me that I can't cycle through the estate until 1st Feb due to apparently it causing too much disturbance during the shooting season or something. Now the fact that his quad bike would obviously cause far more disturbance than my bike seemed to escape him, but other than that what's the laws on this? Is he trying it on, or is the law on his side?
I'm not planning to cycle through when shoots are on (for my own safety more than anything else), however if I'm legally allowed to cycle there at other time then I will.
Nope.
He can ask you to avoid a specific route if shooting is actually taking place at that time.
If he is asking for a longer closure, ask him to show you the relevant Section 11 order. If he can't, tell him to jog on.
I think only when shooting is actually taking place. I cannot find the guidance now
As you were.
Tell him to call the cops if he tries it again.
As you say, it's remarkable how disturbing a bike is in comparison to quads, guns, Landrovers, forwarders, etc.
Cheers lads. I knew scotroutes would pop up with some sound advice. You've confirmed my thinking.
Let's hope he doesn't have a shotgun eh!😁
If he appears next time on quad but approaches with shotgun. He could and should lose his licence assuming you feel threatened.
Official guidance from the Outdoor Access Code. https://www.outdooraccess-scotland.scot/practical-guide-all/field-sports/low-ground-shooting
You can help minimise disturbance by being alert to the possibility of shooting taking place in these areas during the autumn and winter and by taking account of advice on alternative routes. Avoid crossing land when shooting is taking place.
As Scotroutes says.
The big problem locally is signs stating,"no access - shooting in progress until April" or similar.
Not good practice - report to the local council access officer, and flag to the local access forum.
Is there any requirement for the landowner to flag that shooting is ‘live’? E.g you hear it’s quiet but only cos they’re finishing a glass of port & a cigar then resume blasting?
Edit: ok so landowner actively uses sign to block access. Was thinking of firing range in Pentlands that would have flags up during live fire
I've got the borders Access guys email if it's in the sooth
If he appears next time on quad but approaches with shotgun. He could and should lose his licence assuming you feel threatened.
Yes, because jeapordising someone's livelihood over an access issue is completely proportional.
I don't disagree that the gamekeeper is wrong however that is a dick move of the highest order.
If he appears next time on quad but approaches with shotgun. He could and should lose his licence assuming you feel threatened.
Unless he is actually threatening you (as opposed to you feeling threatened by the mere presence of the tools of his trade) that is a ridiculous over reaction. A quad bike and a shotgun are pretty much essential to a gamekeeper.
Anyone who approaches someone else while holding a gun automatically wins dickhead of the week award.
Anyone who approaches someone else while holding a gun automatically wins dickhead of the week award.
Eh? A gamekeeper, going about his work, on a shooting estate? In the unlikely event he was pointing it at someone yes. If he's carrying it safely, i.e. broken over his arm if it's a shotgun or slung on his shoulder if it's a rifle, what's the problem?
Also, what else is he supposed to do with it, leave it unattended?
@squirrelking exactly. That would of course be illegal and would result in revocation of his licence and thus loss of his job.
Just so we are clear there was no shot gun in sight!
I have no intention of going through during a shoot. But he said the whole area was off limits between now and end of shooting season regardless of whether a shoot was on. There wasn't one today for example. Basically I got the impression he thought I may disturb the nesting birds...even though I'm keeping to the farm road that runs through it. Which of course is utter nonsense given vehicles pass through there every day
Definitely worth contacting your local Council Access Officer.
Nesting birds...in early Winter?
Emporer penguins perhaps?
As above, nesting birds in December? I'd suggest just your presence was more his silly and very badly reasoned issue. The guy probably needs some polite education, cyclists are quiet, transient and stick to the track/trail, so in reality you'd be one of the least of his problems I'd argue.
Let's be honest, it's cos you were on a gravel bike.
I'd have shot you.
The gamekeeper maybe isn't that bothered but his boss, who pays his wages and owns the house he lives in and that comes and goes with his job, has maybe been having a moan at him about commoners roaming around on his land. It's also a pretty stressful time of year for gamekeepers when said boss wants to entertain all his rich and entitled chums and doesn't want any excuses for not having lots of birds to shoot.
I have no intention of going through during a shoot. But he said the whole area was off limits between now and end of shooting season regardless of whether a shoot was on.
A local access officer wouldn't take well to that.
We have a local estate here who have permanent signs up that have a space for dates to be marker penned in. Every year I have to object as they just put a 6 month date series on them...
And to those who think having a gun as a gamekeeper/farmer while out is threatening or somehow odd, please get some perspective. It's a tool. Used almost daily by many.
It’s fine to hold a shotgun, either broken over the arm or in a case
If you approach cyclists with a gun apparently loaded and held in a shooting grasp with the barrel lowered you will be in a whole lot of poop
A troublesome farmer here in the NW found to his cost when he gave our group some grief
One of our number is a police inspector
Oops
I live on a shooting estate.
I see the game keeper tootling round quite frequently.
He’s never physically carrying a shotgun unless he’s actually out with a shoot. I’m pretty sure his little covered quad thing must have secure storage for his gun. Than said, he’s rarely on foot at all.
This is England, so RoW are well defined and limited, sadly, but if he approached me telling me to get off the land, whilst carrying a gun, I’d feel a bit uneasy. It’s an unspoken power thing. But he hasn’t, he seems fairly professional. A couple of hoo-rah Henrys on horseback told my other half that she shouldn’t be running on a bridle way once, but they were just politely ignored.
Can’t stand shooting as a sport, very elitist and a massive waste of open space in England, that could otherwise be enjoyed by all. I wish Scottish style access laws could work in the rest of the UK, the landowner here is VERY protective of access, signs everywhere. Such a waste.
What does a gamekeeper actually need with a gun on his/her every day duties then?. Shooting hen harriers perhaps?...
Tbf the only one I've had dealings with (and one of squirrelkings local) is alright, decent if a little possessive, but as said it's his livelihood.
Fine with me clearing trails, cutting away fallen trees etc, as long as they're not shooting where I'm doing it.
Soon as this barbaric ‘sport’ is banned the better, it has ruined our countryside. Sadly with the Tories in there’ll be no ban soon :0(
Can’t stand shooting as a sport, very elitist and a massive waste of open space in England, that could otherwise be enjoyed by all
Pretty much this. I'm against it on so many levels, so almost as a point of principle I'm in no way going to stop riding there because of that given its legal
Any ideas how to contact my local access officer? I'm based in Fife (kirkcaldy) and had a Google of fife website doesn't bring much up.
What does a gamekeeper actually need with a gun on his/her every day duties then?. Shooting hen harriers perhaps?…
My thoughts entirely, but the 1st thing I thought of was that maybe he didn't want the OP to come across any traps laid for raptors?
I'd take Scotroutes route. (is that the start of a tongue twister?)
That would be my suspicion Essel - what are they doing they want folk off the land? Many shooting estates break the law continually and blatently
Have a word with yourselves, the op never mentioned a gun. It's like readers of the Mail talking about immigrants.
Have a word with yourselves, the op never mentioned a gun. It’s like readers of the Mail talking about immigrants.
Eh?
Anyway, the Gamey wants to keep people away. There must be a reason for that & if there's no actual shooting going on then that makes me suspicious.
I'm suspicious of gamekeepers & estate landowners anyway, speshly up there & Dales/North Pennines.
Steven - I do not know which bit of Fife this is but released Sea eagles were illegally killed in fife. 63 eagles are known to have been illegally killed on shooting estates and that is just the eagles and the known cases.
Exactly my point, you've no idea who the keeper is or where the estate is but you've decided they must be up to no good. You mention 73 sea eagles being killed, how many of those were in Fife? Selectively pulling out facts to suit your argument, you could get a job writing for the mail. I'm not condoning raptor persecution and I believe large scale commercial shooting has no place in this day and age but I don't like seeing this kind of demonisation.
No - I have said they may well be up to no good and kicking people off the land without cause makes me suspicious. Steven - you really need to open your eyes to the criminality of the shooting estates. Its not demonisation if it is true. Look at the data on raptor persecution.
One we know of killed in fife out of 15 reintroduced.
Well said TJ. Raptor persecution is rife in Scotland & It's funny* how most go missing on grouse moors & not over mountainous areas.
*not.
Fife council have changed their website recently and it's harder to find what you need.
Generic email is outdooraccess@fife.gov.uk
Last time I contacted them Sarah Jonston was the access officer, She's based in Cupar.
You could try phoning 01592 583239 which is the last number I have for them
And how many grouse moors are there in sunny Fife? The one case of a sea eagle death in Fife I found had injuries consistent with a fight with a wind turbine.
Once again..when i spoke to him yesterday there was no gun anywhere to be seen!!! The only mention of a gun I made was that I jokingly said I hope he didn't have one! Even if he did, as long as he doesn't point it at me then no issue.. it's a tool of his job I assume.
Have a word with yourselves, the op never mentioned a gun. It’s like readers of the Mail talking about immigrants.
I was responding to other posts mentioning a gun, not the OP, but I'll be sure to ask your permission next time. Sorry.
And thanks for the contact details. Ill get in contract.
Steven - One sea eagle killed in a windfarm. another "disappeared" on a grouse moor. 3 proven incidents of raptor persecution in fife in 2018. Latest data.
Edit - 2012 - 2018
They'll be fattening up the pheasants. It's easier for the estate staff if the feeders are near the access tracks. Folk passing could disturb the birds, chasing them off so they spend less time eating.
I don't agree with the whole bird shooting thing but there's no need to be paranoid about what's going on.
Good point scotroutes. Still no reason to stop access tho. I guess following the raptor persecution stuff makes one a bit suspicious given the data we have that proves that vast majority of shooting estates persecute raptors. 100+ proven cases every year 70% of them on shooting estates
Houns
Member
Soon as this barbaric ‘sport’ is banned the better, it has ruined our countryside.
How do you reckon that then Houns? If it wasn't for grouse shooting for example, heather moorland would be left to the sheep and over grazed, impacting biodiversity and threatening this delicate ecosystem. The UK has about 75% of the world's heather moorland. You reckon landowners are going to spend vast sums of money to preserve it just cos it looks nice? Nope, they'll put sheep on it, the white grass will take over and the heather will be gone.
Likewise, shooting on lowland estates means wider field margins, more hedges and woodlands as cover for the birds, with obvious benefits to other wildlife.
So shooting has a huge impact on how our countryside looks and not in a detrimental way - regardless on you views of how barbaric the activity itself is.
Red T was the one who died due to the wind turbine somewhere in the Ochils, there was one spotted in Methil that must have been scary for the Eagle. Quite a few Perthshire poisoning of birds not sure if anyone goes to jail though
dashed - yes the whole question is multifactorial but that driven grouse moors are detrimental to biodiversity and that raptor persecuting is normal in the "industry" then its indefensible. Both things are proven.
Lowland pheasant and other bird shooting causes less harm and deer shooting can be fine with biodivesity or can lead to green deserts.
If you think grouse shooting is good for the countryside just look at the lammermuirs
How do you reckon that then Houns? If it wasn’t for grouse shooting for example, heather moorland would be left to the sheep and over grazed, impacting biodiversity and threatening this delicate ecosystem. The UK has about 75% of the world’s heather moorland. You reckon landowners are going to spend vast sums of money to preserve it just cos it looks nice? Nope, they’ll put sheep on it, the white grass will take over and the heather will be gone.
Likewise, shooting on lowland estates means wider field margins, more hedges and woodlands as cover for the birds, with obvious benefits to other wildlife.
So shooting has a huge impact on how our countryside looks and not in a detrimental way – regardless on you views of how barbaric the activity itself is
Why would you want to preserve heather moorland? There is no biodiversity on a heather moorland whether it is overgrazed or not. It is not a natural condition for the land to be in, it is entirely the product of human beings destroying the woodlands that would once have covered the hills. The single best thing that could be done for the environment in this country would to let the moors scrub over and then return to woodland.
Some heather would survive of course - and it would be able to grow to its full height which is almost never seen nowadays. In "Kidnapped" the hero hides in the heather. You cannot do that now
jamz
Why would you want to preserve heather moorland?
Indeed. And it's amazing how many traces of substantial human occupation still exist on that land from before it was turned to a desert.
Shooting estates protecting the environment? Aye, right...
There is no biodiversity on a heather moorland
UWOTM8?
Look at my link above. Grouse moors are monoculture and green deserts. The landowners kill any predators moving in and all trees and bushes are burnt off and killed. What do you think would be naturally in the lammermuirs ( my pic above)
Go on then - something to counter that view
Some nice peer reviewed stuff on how well raptors do on grouse moors? How about mustelids? No? How about mountain hares? Infact how about any mammals at all?
Its beyond doubt that grouse moors damage biodiversity. It can be nothing less as its such an impoverished environment with no habitat diversity.
Oh I have done which is why I know about the poor biodiversity on grouse moors.
I mentioned the gun and also said if you feel threatened. I've had fox hunt people sit across my path on a quad with rifle in lap.
I'll say again I very specifically said if you feel threatened.
So reporting that not a dickmove in my opinion.
Why would you want to preserve heather moorland? There is no biodiversity on a heather moorland whether it is overgrazed or not. It is not a natural condition for the land to be in, it is entirely the product of human beings destroying the woodlands that would once have covered the hills.
Sure about that?
https://www.tandfonline.com/doi/full/10.1080/17550870802260624
Yes - we do know that - partly because if you stop the heather burning and the overgrazing the trees return and partly because all the bogs are full of tree stumps that are the remains of forests from a few hundred years ago
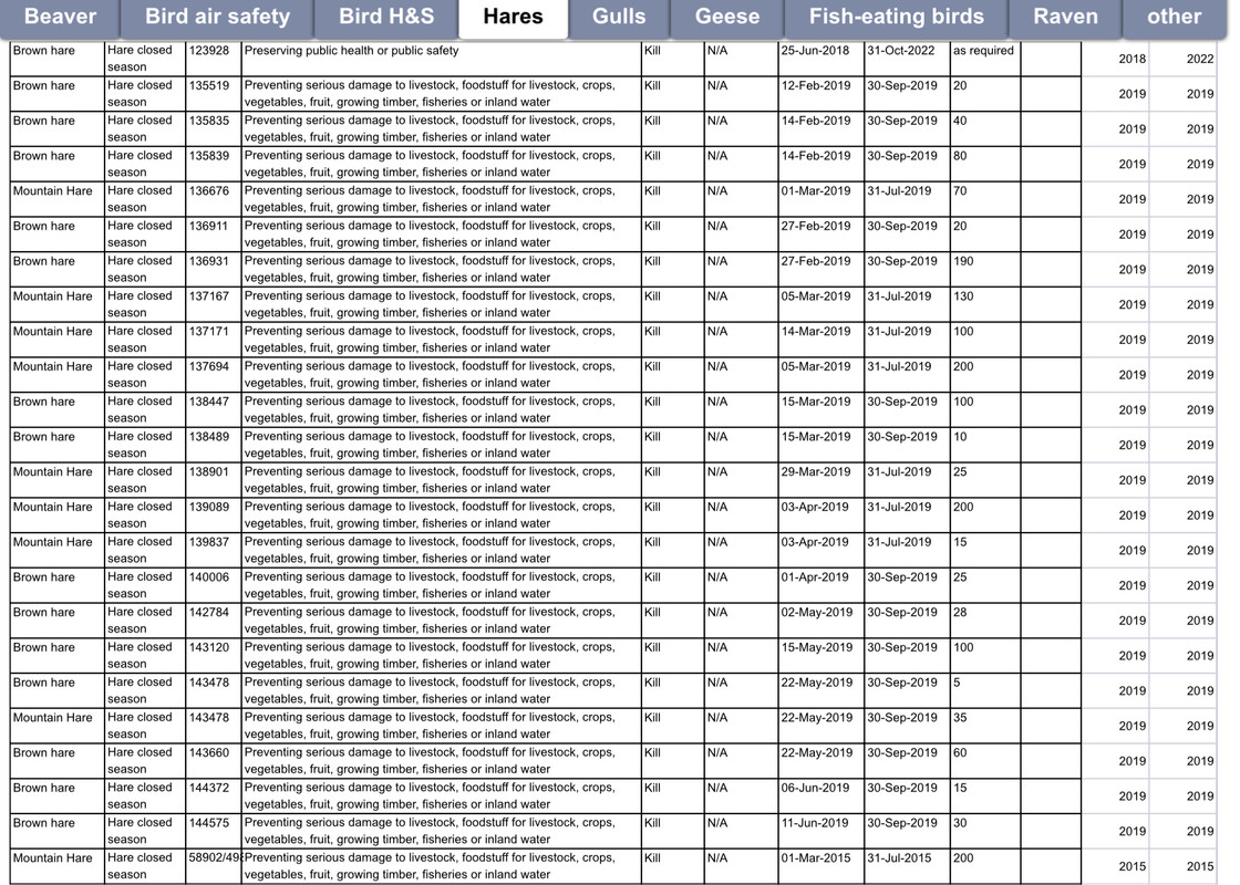
I'd love those who think burnt heather monoculture is good habitat and that grouse moors are good for wildlife - I'd like you to justify the annual slaughter of mountain hares - an endangered species but killed in the tens of thousands every year because they compete with grouse for food
go on justify this
[img]
?w=655&h=381[/img]
https://thirdforcenews.org.uk/tfn-news/revealed-the-extent-of-mountain-hare-slaughter-in-scotland
Do they get eaten?
Slight tangent, but Im baffled as to why there's game keepers in the 21st century.
There's 50,000 vacancies in the road haulage industry. Surely the gamekeepers could find more productive employment in that sector?
The landowners would be better off growing things like hemp or bamboo.
We're entering an age in which most of our everyday 'stuff', bikes, furniture, household appliances etc, will be 3-d printed from hemp resin.
The landowners could go to university and equip themselves with a relevant skill set for the challenges which the planet faces.
The hemp plants would also be an ample source of bird-seed, thus keeping the grouse-fans happy.
And that's Saturday. Phew!
5th - no - they are dumped and burnt.
There’s 50,000 vacancies in the road haulage industry. Surely the gamekeepers could find more productive employment in that sector?
Aye, get away from those cold, windy hills, and into a nice warm truck. Bet they've never thought of it! 😂
**** that!
5th – no – they are dumped and burnt.
Well, some of them will end up in a stink pit to attract raptors and other "pests" so they can be snared or shot.
5th – no – they are dumped and burnt.
That’s shitty.
go on justify this
Have you seen how many young trees hares eat? Particularly in the absence of grazing pressure from other herbivores. Hence why SNH issues licences to cull thousands during the breeding season
https://www.scotsman.com/news/environment/thousands-of-hares-culled-to-save-trees-1-4284579
You do realise that is simply a press release?
Usual nonsense from the hunting shooting criminals
They are not slaughtering hares so trees can regenerate. They slaughter them on grouse moors where trees cannot grow because of the burning
Hares are not culled in areas where reforestation is happening
Local shooting estate gives away 200+ birds after each shoot. They cannot cope with the numbers of birds slaughtered. It got to the point that the butcher was charging 25p per brace to take them.
Fat blokes in tweed roll up stand still and shoot at the sky while drinking.
They now roost the birds on one side of where the birds will be and feed them on the other so when flushed they head for "home".
Sorry, SNH have confirmed via FOI that all their out of season mountain hare licences were for tree protection
Local shooting estate gives away 200+ birds after each shoot. They cannot cope with the numbers of birds slaughtered. It got to the point that the butcher was charging 25p per brace to take them.
Have you got freezers full of them?
Most of those hares killed under licence for "tree protection" were on shooting estates.
You mean the exact places they have been trying to regenerate woodlands? (Eg. Glenfeshie is still classed as a shooting estate)
How many hares have been killed on Glenfeshie?
I don’t have the data (licences anonymised) but TJ asked for justification for killing hares, and everyone accepts that, just like deer, mountain hares eat trees, so there you go.
https://www.sciencedirect.com/science/article/abs/pii/S0378112702003110

Much of the problem is a lack of predators. Foxes, weasels, stoats, wild cats, eagles etc would control the numbers of hares. Except they are persecuted by gamekeepers.
Glenfeshie have not killed any hares under licence, the woodland is regenerating fine there.
All comes down to money (Much like the rest of society, really). Anything that eats into profits of the big estates will be exterminated. Same as farming, it’s a business decision. If there’s a legal way to do that (‘tree protection’🙄) then they’ll use that. But don’t be under any illusion that the landowners particularly care about trees, other than as a nice backdrop to encourage the guns to spend their money.